GGU-AXPILE: Partial factors
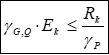
The characteristic bearing resistance Rk is determined in the same manner for partial factors as it is for global factors. Using the partial factor concept, the failure resistance is divided by the partial factor γP for the bearing resistance according to Table 3 of DIN 1054:2005. The thus determined design value for the bearing resistance Rd must be greater than the design value for the effect Ed. The design value of the effect is obtained from the characteristic effect Ek i multiplied by the partial factor for actions and effects (γG,Q) according to Table 2 of DIN 1054:2005.

If this equation is divided by γG,Q, an allowable (acceptable) pile load can be determined in analogy to the global factor concept.

The allowable pile loads can then be compared to characteristic effects.