GGU-SLUGTEST: Basic differential equation
The slug test was originally derived with mathematical precision by COOPER et al. (1967) on the basis of the differential equation for transient, radial-symmetric flow into a confined, homogeneous and isotropic aquifer. One of the principal boundary conditions taken into consideration by them is the finite well radius and thus the wellbore storage of the well.
The approach used is:

where:
h : Head [m]
r : Radial distance from well [m]
t : Time [s]
T : Transmissivity [m²/s]
S : Storage coefficient [-]
The differential equation is derived from a combination of the law of mass conservation, Darcy's Law and, optionally, a description of state (MATTHEWS & RUSSEL, 1967). The conditions for this are constant radial flow, a confined, homogeneous and isotropic medium of infinite extent, and a single fluid phase with small and constant compressibility.
Here, the transmissivity indicates the volumetric flow of a fluid of defined viscosity in a hydraulic gradient of 1 through a 1 m section of aquifer, encompassing the complete thickness (m) of the aquifer and which is arranged perpendicular to the direction of flow (LANGGUT & VOIGT, 1980).
The relationship between the transmissivity and the permeability (kf), then, is
T = kf · m.
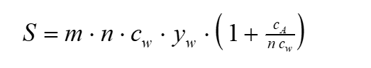
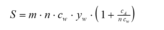
The storage coefficient is a parameter describing the quantity of water stored or released from an aquifer per surface unit of the aquifer for a unit change in water level (KRUSEMANN & DE RIDDER, 1973). Strictly speaking, the storage coefficient only applies to confined aquifers and is a function of the elasticity (or compressibility) of the grain skeleton and the fluid. The volume of the single grains is assumed to be constant because their compressibility is substantially smaller than that of the grain skeleton and smaller than the fluid (MATTHESS & UBELL, 1983, p. 159). The storage coefficient can thus be defined as (KRUSEMANN & DE RIDDER, 1990):

where:
S : Storage coefficient [-]
m : Aquifer thickness [m]
n : Aquifer porosity [-]
cw : Compressibility of fluid [m²/N]
cA : Compressibility of aquifer [m²/N]
: Unit weight of fluid [N/m³]