GGU-SLUGTEST: "Equivalent radius" menu item
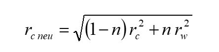
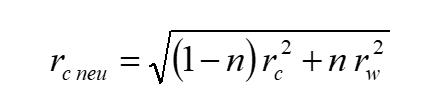
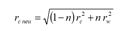
Normally, we assume for a slug test that the water level fluctuates in the region of the blank casing. However, there is one exception when the at-rest water level is within the region of the screen or the filter gravel. The porosity of the filter gravel must then be taken into consideration. Together with the well development details, a new, so-called equivalent radius results in accordance with

where n is the porosity of the filter gravel.
If this configuration corresponds to that of the test you are evaluating, enter the porosity "neff" of the filter material using this menu item. This input must be as a decimal, not a percentage!

You can view the new value for the casing radius rc by pressing the "Determine equivalent radius" button.

If you would like to evaluate your test using the equivalent radius, click "As new radius". The newly determined equivalent casing radius is then used in the test data. If you click the "OK" button the value is not accepted and then serves information purposes only.