GGU-SLUGTEST: Skin effect
Often, a zone with altered hydraulic properties to those of the surrounding rocks can be observed in the immediate vicinity of a borehole or a well. This is chiefly caused by the penetration of drilling mud and additives or by the swelling of existing clay minerals. The drilling process can also lead to decompaction of the rock mass. The resulting change in pressure is known as the skin effect (HURST, 1953).
Mathematically, the skin effect can be described in two ways, either as an infinitesimally small zone without inherent storage capacity (VAN EVERDINGEN, 1953) or as a finite zone of given dimensions with inherent storage capacity (MOENCH & HSIEH, 1985 a; KARASAKI, 1986).
For an infinitesimally small skin zone the following applies:

where:
s : Skin factor [-]
k : Permeability of aquifer [m/s]
ks : Permeability of skin zone [m/s]
rs : Radius of skin zone [m]
rB : Well/borehole radius [m]
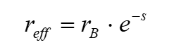
For practical application an infinitesimal skin can be described using the concept of the effective borehole radius (reff) (EARLOUGHER, 1977):

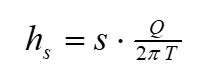
This means that for a skin factor different to zero, the hydraulically effective radius no longer corresponds to the actual well radius. For a skin factor greater than zero, the effective radius is smaller than the well radius, and for a skin factor smaller than zero, the effective radius becomes greater than the well radius. The skin factor lies between infinite for completely sealed boreholes and -5 for stimulated, i.e. fractured boreholes (EARLOUGHER, 1977). After HAWKINS (1956), the pressure loss or increase for an infinitesimal skin zone is:

where:
hs : Pressure loss [m]
s : Skin factor [1]
Q : Pumping rate [m³/s]
T : Transmissivity [m²/s]
A skin effect (pseudo skin) can also be evoked by an imperfect well, turbulent flow, an inclined borehole or by the entry resistance of a well screen (DA PRAT, 1981; 1990).