GGU-UNDERPIN: Verification of deep-seated stability
According to the EAB, R 44, the deep-seated stability of tied-back excavations must be verified. This primarily serves to determine the necessary anchor lengths. Verification uses the method described by Ranke/Ostermayer (Bautechnik 1968 (Construction Engineering), Issue 10). When verifying deep-seated stability each anchor is first investigated (including the influence of the remaining anchors on the slip plane). Compound slip planes, which are determined by connecting the end points of the anchors involved, are then analysed.

Figure 17 Compound "deep slip planes"
All possible combinations are analysed. For example, when there are four anchors:
Slip plane passes through anchor end points
1,2 and 1,3 and 1,4 and 1,2,3 and 1,2,4 and 1,3,4 and 1,2,3,4 and 2,3 and 2,4 and 2,3,4 and 3,4.
The only condition is that the next anchor end point is always to the right of and above the preceding one.

Figure 18 Compound "deep slip plane", which is not investigated
These slip planes are not critical. The most unfavourable slip plane associated with each anchor is displayed on the screen with the corresponding safety factor. A safety factor of 1.5 is generally required when adopting global safety factors. If this safety factor cannot be achieved or is exceeded heavily, the program can optimise individual anchor lengths.
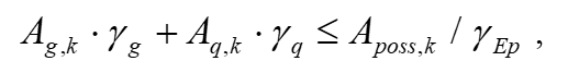
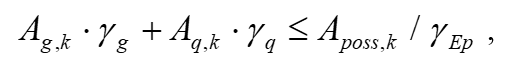
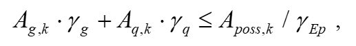
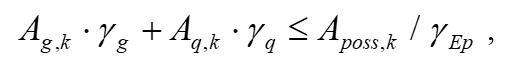
Using partial safety factors the possible anchor force is acquired in complete analogy to global safety factors, but is divided by the passive earth pressure partial safety factor. The deep-seated stability is deemed as verified if:

where Aposs,k is determined from the force polygon with permanent loads only, and

where Aposs,k is determined from the force polygon with permanent and changeable loads. Where:
Ag,k = characteristic anchor force from permanent loads
Aq,k = characteristic anchor force from changeable loads
Here, too, optimisation with regard to a utilisation factor of 1.0 is possible.