GGU-CONSOLIDATE: Sekundärsetzungen
Sekundärsetzungen resultieren aus Volumenänderungen, die unter konstanten effektiven Spannungen auftreten. Ihre zeitliche Zunahme ist nach derzeitigem Stand der Wissenschaft unabhängig vom Betrag der effektiven Spannungen. Mathematisch lassen sich die Volumenänderung wie folgt beschreiben (Garlanger, 1972):

Hierin sind:
e = Porenzahl
e98 = Porenzahl bei einem Konsolidierungsgrad von 98 % (praktisch das Ende der Konsolidation)
Cα = Kriechbeiwert, bezogen auf die Porenzahl
t = Zeit von Beginn der Konsolidation an gerechnet, t ≥ t98
t98 = Zeit bei einem Konsolidierungsgrad von 98 %, ab Beginn der Konsolidation gerechnet
Grundlage der Sekundärsetzungen sind Zähigkeitseffekte des Bodens bzw. des Porenwassers, über deren Gesetzmäßigkeiten Buisman, 1936, unter Bezugnahme auf Setzungsbeobachtungen in folgender mathematischer Form erstmalig berichtete:

mit:
ε = Zusammendrückung (Stauchung)
ε98 = Zusammendrückung bei einem Konsolidierungsgrad von 98 % (praktisch das Ende der Konsolidation)
CB = Kriechbeiwert, bezogen auf die Zusammendrückung ε
t = Zeit von Beginn der Konsolidation an gerechnet, t ≥ t98
t98 = Zeit bei einem Konsolidierungsgrad von 98 %, ab Beginn der Konsolidation gerechnet
Es sei an dieser Stelle angemerkt, dass die Gleichungen (1) und (2) in der Literatur sowohl mit dem natürlichen als auch mit dem dekadischen Logarithmus verwendet werden. In der Praxis scheint die Verwendung des dekadischen Logarithmus weiter verbreitet zu sein als die Verwendung des natürlichen Logarithmus.
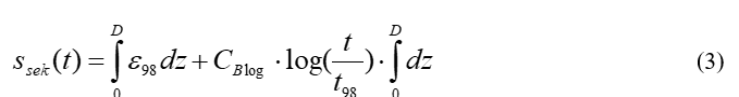
Die für praktische Zwecke interessierenden Sekundärsetzungen ergeben sich aus Gleichung (2) durch Integration über die Schichtdicke:

mit:
ssek(t) = Sekundärsetzungen als Funktion der Zeit t
z = Ortskoordinate für die Tiefe [m]
D = Ausgangsschichtdicke [m]
CBlog = Kriechbeiwert, bezogen auf die Zusammendrückung ε und auf den dekadischen Logarithmus.
Die Umrechnung auf den entsprechenden Wert für den natürlichen Logarithmus:
CBln = 1/ ln 10 · CBlog = 0,434 · CBlog
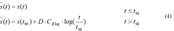
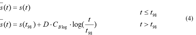
Führt man die Integration aus und bezieht man den gesamten Setzungsprozess als Funktion der Zeit in die Betrachtung ein, so ergeben sich die nachfolgenden Ausdrücke:

mit den zusätzlichen Größen:
= Sekundärsetzungen als Funktion der Zeit t [m]
s(t) = Konsolidationssetzungen als Funktion der Zeit t [m]
s(t98) = Setzung infolge Konsolidation bei einem Konsolidierungsgrad von 98 % [m]
Streng genommen beginnen die Sekundärsetzungen bereits mit den Konsolidationssetzungen. Rechnerisch lässt man sie zu einem späteren Zeitpunkt beginnen.
Nach Kulhawy and Mayne, 1990, kann das Verhältnis cα/cc für organische Böden zwischen 0,04 und 0,06 liegen. cα kann als Kompressionsbeiwert für sekundäre Setzungen interpretiert werden, der vom Betrag des Kompressionsbeiwert für primäre Setzungen abhängt und der, wenn der Mittelwert dieses Verhältnisses verwendet wird, wie folgt angeschrieben werden kann:
cα (Ip) = 0,05 × cc(Ip) bzw. cα (wL) = 0,05 × cc(wL) (11)
Dieser Zusammenhang gilt auch, wenn der Kompressionsbeiwert als Funktion des Wassergehalts an der Fließgrenze dargestellt wird. Aus ihm ergeben sich die zeitabhängigen Sekundärsetzungen durch Integration der Porenzahländerung e über die Schichtdicke d zu:


Weitere Literatur:
Bjerrum, L. | 1967 | Engineering geology of Norwegian normally consolidated marine clays as related to settlements of buildings. Seventh Rankine lecture. |
Buisman, A.S.K. | 1936 | Results of long duration settlement tests. Proc. 1st ICSMFE, Cambridge, Mass., Vol.l:103-107 |
Crawford, C.B. | 1964 | Interpretation of the consolidation test,Journal of the Soil Mechanics and Foundations Division, ASCE, 90: 87-102 |
Garlanger, J. E. | 1972 | The consoidation of soils exhibiting creep under constant effective stress, Geotechnique 22, 71-78 |
Gudehus, G., | 1981 | Bodenmechanik, Ferdinand Enke Verlag Stuttgart |
Hvorslev, M.J., | 1960 | Physical Components of the Shear Strength of Saturated Clays, |
Kulhawy, F.H., Mayne, P.W. | 1990 | Manual on Estimating Soil Properties for Foundation Design, |
Schulz, H. | 2002 | Setzungsprognosen für weiche Böden, Bauingenieur, Band 77, |
Schulz, H. | 2003 | Prediction of Settlements of Soft Soils, Int. Workshop on Geotechnics of Soft Soils-Theory and Practice. Vermeer, Schweiger, Karstunen & Cudny (eds.) 2003 VGE |
Stolle, D.F.E., Vermeer, P.A., Bonnier, P.G. | 1999 | A consolidation model for creeping clay, Can. Geotech. Journal, |