GGU-DRAWDOWN: Rechteckige Baugruben
Die Erläuterung erfolgt an einer rechteckigen Baugrube. Hinsichtlich polygonal begrenzter Baugruben ergeben sich nur geringe Abweichungen, die im anschließenden Abschnitt behandelt werden. Die wesentlichen Größen sind in den beiden nachfolgenden Abbildungen enthalten.

Abbildung Bezeichnungen (Grundriss)

Abbildung Bezeichnungen (Schnitt)
Die Reichweite R kann auf vier verschiedene Arten definiert werden:
a) nach Sichardt

b) nach Kussakin

c) nach Weyrauch
bei freiem Grundwasserleiter:

bei gespanntem Grundwasserleiter:

d) als fest vorgegebener Wert, den Sie selber eingeben.
Bei kleinen k-Werten, geringer Absenkung und großen Baugruben ist eine Korrektur der Reichweite R erforderlich:

Die Entscheidung, wann diese Korrektur vom Programm benutzt werden soll, müssen Sie selber vornehmen.
Mit den Werten t und z wird die Absenkung s vorgegeben, die Sie erreichen wollen. Zusammen mit der Durchlässigkeit k, der Fläche der Baugrube (+ Abstand der Brunnen vom Baugrubenrand) und der Reichweite R ergibt sich aus dieser Absenkung die Gesamtwassermenge Qmax (Formel 20 bzw. 93 in HERTH/ARNDTS).

Die beiden obigen Formeln gelten für Werte von:

Bei Werten kleiner als "1" wird anstelle des Ausdrucks

die Beziehung

eingesetzt.
Der Wert Q beinhaltet gegebenenfalls Zuschläge für die schnellere Erreichung des Absenkziels (nach HERTH/ARNDTS i.a. 10 %) oder für eventuelle unvollkommene Brunnen, die nicht bis zum Grundwasserstauer reichen (nach HERTH/ARNDTS i.a. 10 bis 30 %, siehe dazu allerdings auch die kritischen Anmerkungen von RIEß im Grundbautaschenbuch).
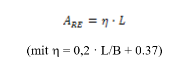
Der Wert ARE ist der so genannte Ersatzradius. Im Programm sind alle bekannten Möglichkeiten der Berechnung des Ersatzradius enthalten.
a) ARE wird berechnet aus

b) ARE wird nach einem Vorschlag von Weber berechnet aus

c) ARE wird berechnet aus L/3 bei langen Baugruben bei Berücksichtigung der Absenkung inmitten der Brunnenreihe.
d) ARE wird berechnet aus L/5 bei langen Baugruben bei Berücksichtigung der Absenkung am Ende der Brunnenreihe.
e) ARE wird von Ihnen definiert.
Nach der Eingabe der Grunddaten müssen Sie die Brunnen sinnvoll um die Baugrube verteilen oder die Lage und Anzahl der Brunnen über den Menüeintrag "System optimieren" vom Programm bestimmen lassen.
Danach erfolgt die Berechnung der Anlage. Es erfolgt zunächst eine Nachrechnung der vorgeschlagenen Anlage für den ungünstigsten Punkt am Baugrubenrand (siehe auch HERTH/ARNDTS Formel 18).

Im Programm wird der gesamte Baugrubenrand in Abständen von 0,2 m untersucht und daraus der Ungünstigste Punkt (UP) bestimmt. Die obigen 3 Formeln gelten bei einer Anlage, deren Brunnen alle den gleichen Durchmesser aufweisen. Falls unterschiedliche Brunnenradien vorhanden sind, ist der Ausdruck

zu ersetzen.

Darin ist q das Fassungsvermögen des jeweiligen Brunnens.

Aus den Formeln (5), (6) oder (7) resultiert der tatsächliche Wasserandrang in die Baugrube. Aus diesem neuen, eventuell höheren Qmax ergibt sich zusammen mit der gewählten Brunnenanzahl das mindestens erforderliche Fassungsvermögen eines Brunnens (q). Anschließend bestimmt das Programm den mittleren Brunnenabstand b' und - bei aktiviertem Schalter "Benetzte Filterstrecke nach HERTH/ARNDTS" - daraus die tatsächliche benetzte Filterfläche der Brunnen seb (Formel 98 in HERTH/ARNDTS) bzw. das vorhandene Fassungsvermögen der Brunnen.

Alternativ besteht auch die Möglichkeit, den Schalter "Benetzte Filterstrecke nach HERTH/ARNDTS" zu deaktivieren und die benetzte Filterstrecke für jeden Brunnen einzeln berechnen zu lassen. Die vorhandene benetzte Filterstrecke ergibt sich dann aus dem Brunnen mit der größten Absenkung. Welches der beiden Verfahren zur Berechnung der benetzten Filterstrecke theoretisch korrekt ist, ist umstritten. In HERTH/ARNDTS wird in allen Beispielen mit dem mittleren Brunnenabstand gerechnet. Im Grundbautaschenbuch (1997) wird von RIEß jedoch die Bemessungspraxis von HERTH/ARNDTS kritisiert und das zweite Verfahren favorisiert.
Wenn die berechnete benetzte Filterfläche größer oder gleich der erforderlichen benetzten Filterfläche (daraus resultiert das Fassungsvermögen eines Brunnens) ist, dann ist die Anlage ausreichend dimensioniert. Wird die Bedingung nicht eingehalten, erfolgt vom Programm ein Warnhinweis mit Angaben zur weiteren Vorgehensweise. Folgende Möglichkeiten bestehen:
Brunnenradius vergrößern
Brunnenanzahl vergrößern
Brunnentiefe vergrößern
Nach erfolgreicher Dimensionierung der Anlage berechnet das Programm die Absenkungen in den einzelnen Brunnen und die Absenkung in Baugrubenmitte bzw. bei einer polygonal begrenzten Baugrube im Schwerpunkt der Baugrubenumrandung. Da vor allen Dingen bei polygonalen Baugruben hier nicht der Punkt mit der geringsten Absenkung liegt, wird zusätzlich ein Zufallsgenerator gestartet, der innerhalb der Baugrube nach der geringsten Absenkung sucht.