GGU-CONSOLIDATE: Konsolidationssetzungen bei nicht linearer Zusammendrückung
Dieser Ansatz geht auf eine Anregung von Prof. Dr.-Ing. Hartmut Schulz zurück. Der zugehörige Erläuterungstext stammt überwiegend von Prof. Schulz.
In der folgenden Abbildung ist dieser Ansatz der Spannung-Porenzahl-Beziehung dargestellt. Entsprechende Darstellungen erhält man aus der Auswertung von Drucksetzungsversuchen mit dem Programm GGU-OEDOM.

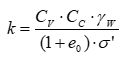
Es wird eine lineare Abnahme der Porenzahl e mit dem Logarithmus der effektiven Vertikalspannung σ' zugrunde gelegt. Daraus ergibt sich die Zusammendrückung ε durch Bezugnahme auf das Gesamtvolumen.

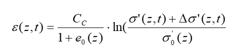
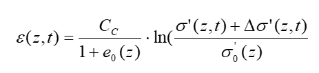
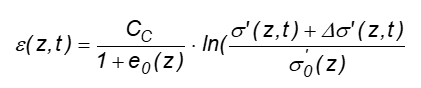
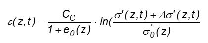
ε(z,t) = Zusammendrückung als Funktion des Ortes z und der Zeit t
CC = Kompressionsbeiwert
e0(z) = Porenzahl am Ort z vor Aufbringen der Belastung
σ0'(z) = Spannung am Ort z vor der Lasterhöhung
Δσ0'(z,t) = Spannungsänderung als Funktion des Ortes z und der Zeit t
In dieser Gleichung ist bereits eingearbeitet, dass die effektiven Vertikalspannungen Funktionen des Ortes z innerhalb der Schicht und der Zeit t während des Konsolidiervorgangs sind. Weiterhin ist berücksichtigt, dass die Porenzahl sich linear mit dem Logarithmus der Spannungsänderung ändert. Daraus folgt, dass der Kompressionsbeiwert CC eine Konstante ist. Zu dem Beispiel in obiger Abbildung gehört die Auswertung in der nachfolgenden Abbildung (Spannung-Kompressionsbeiwert-Beziehung im Programm GGU-OEDOM), die zeigt, dass im vorliegenden Fall der Kompressionsbeiwert CC über den gesamten Spannungsbereich nahezu konstant ist (CC ≈ 0,08). Nur dann können Berechnungen nach diesem Ansatz durchgeführt werden.

Als Eingabewerte sind für jede Schicht folgende Werte erforderlich:
Kompressionsbeiwert CC
Porenzahl e0(oben) = Porenzahl e0 an Oberkante der Schicht
Spannung σ'0(oben) = Effektive Spannung σ'0 an der Oberkante der Schicht vor der Lastaufbringung
Spannung σ'0(unten) = Effektive Spannung σ'0 an der Unterkante der Schicht vor der Lastaufbringung
Das Programm bestimmt zunächst die Porenwasserdruckverteilung Δu(t,z) zum Zeitpunkt t über die Schichttiefe z. Dazu werden die in den vorangegangenen Abschnitten bereits erläuterten Verfahren verwendet. Anschließend wird die Spannungsänderung berechnet:
Δσ'(z,t) = σ0'(z) + Δu(z,t)
σ0'(z) kann aus σ'0(oben) und σ'0(unten) berechnet werden.
Weiterhin wird die Porenzahl e0(z) berechnet aus:
e0(z) = e0(oben) + ln(σ'0(oben)/ σ0'(z))·CC
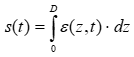
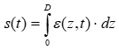
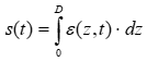
Nun sind alle Größen bekannt, um die oben angegebene Formel

auswerten zu können. Für jeden Zeitschritt wird somit eine dimensionslose Zusammendrückung in der Tiefe z erhalten. Die Integration dieser Werte über die Tiefe liefert die Setzung s(t).

D = Schichtdicke
Die hier beschriebenen Gleichungen sind im Programm implementiert.
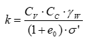
Wenn Sie mit Konsolidierungsbeiwert CV und Kompressionsbeiwert CC rechnen, gibt das Programm auch eine Durchlässigkeit an, die wie folgt ermittelt wird:
