GGU-SLUGTEST: Auflösen der Gleichungen
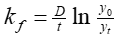
Aus vorigen Gleichungen erhält man durch Einsetzen und Auflösen:

und

mit:
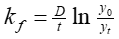
y0 : Absenkung im Brunnen für t = 0 [m]
yt : Absenkung im Brunnen für t > 0 [m]
t : Zeit [s]
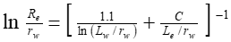
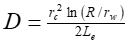
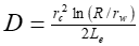
Re : Reichweite [m]
Die Reichweite Re bei einem Slug- oder Bail-Test wurde mit Hilfe eines Elektro-Analog-Modelles ermittelt. Für einen vollkommenen Brunnen (H = Lw) gilt die Beziehung:

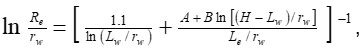
Für einen unvollkommenen Brunnen wird die nachfolgend aufgeführte Formel verwendet:

wobei H als Abstand zwischen der Grundwassersohlschicht und dem Ruhewasserspiegel in Metern definiert ist. Die Koeffizienten A, B und C werden in Abhängigkeit von Le /rw aus einem Diagramm ermittelt.
Es läßt sich schreiben:

mit:

Da D eine bekannte Größe für jeden Brunnen ist, folgt für den zeitlichen Verlauf der Wasserspiegeländerung in Abhängigkeit vom kf-Wert:

Auf Grundlage dieser Herleitung beruht das Prinzip einer Auswertung nach BOUWER & RICE (1976) darin, einen kf-Wert zu finden, der die Abweichung zwischen den gemessenen und den berechneten Wasserständen minimiert.