GGU-SLUGTEST: Ermittlung von shape-Faktor und kf-Wert
Der Wert F wird als shape-Faktor bezeichnet und berücksichtigt je nach Brunnenkonfiguration und Ausbildung des Aquifers den ideellen Fließweg L. Da L nicht exakt berechnet werden kann, ermittelte HVORSLEV (1951) für sechs verschiedene Testanordnungen empirische shape-Faktoren, die in der Formel für den kf-Wert eingesetzt werden.
Die am häufigsten eingesetzte Formel gilt für einen allseitig offenen, unvollkommenen Brunnen in einem freien Aquifer unendlicher Mächtigkeit. Für den shape-Faktor gilt dann:

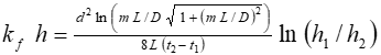
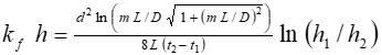
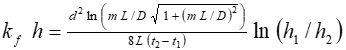
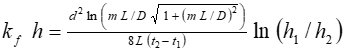
Daraus folgt für den horizontalen Durchlässigkeitsbeiwert, wenn m L/D > 4 ist:

oder wenn m L/D ≤ 4 ist:

mit:
d : Mantelrohrdurchmesser [m]
D : Brunnenfilterdurchmesser [m]
L : Länge der Filterstrecke [m]
m :
[1]
Durch die Modifikation der allgemeinen Gleichung für den kf-Wert erhält man mit
h1 = H0 t1 = t0 = 0
h2 = h(t) t2 = t

Da die Parameter A, F und auch kf für einen gegebenen Brunnen bzw. Aquifer Konstante sind, kann man umformen zu:

mit

woraus folgt:

Die mit der letzten Gleichung dargestellte Funktion beschreibt das Absinken des Wasserspiegels im Brunnen bei einem Slug-Test nach HVORSLEV (1951).