GGU-SLUGTEST: Weitere Randbedingungen
Für einen generell gültigen Lösungsansatz, der für die verschiedensten Randbedingungen einsetzbar ist, werden in der o.a. Differentialgleichung anstelle der dimensionsbehafteten Größen dimensionslose Größen eingeführt. Dabei lassen sich der dimensionslose Druck bzw. Wasserstand (hD) als Funktion der Zeit, des Ortes, der Systemgeometrie und anderer Einflussfaktoren, die dimensionslose Zeit (tD) z.B. als Funktion des Brunnenradius formulieren (EARLOUGHER, 1977):
hD = f (Zeit, Ort, Geometrie,...)
tD = f (Brunnenradius, Zeit,....)
Dieser Modellansatz hat den Vorteil, dass die dimensionslosen Größen direkt proportional den dimensionsbehafteten sind und somit durch einfache Transformationen ineinander überführbar werden.
Zur vollständigen Beschreibung der Lösung gehört die Festlegung und Formulierung der Randbedingungen. Als eine innere Randbedingung kann die Art des Eingangssignals (z.B. der Druckimpuls bei einem Slug-Test) angesehen werden.
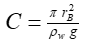
Weiterhin muss der Einfluss eines Bohrloches oder Brunnens selbst berücksichtigt werden. Die Brunnenspeicherung eines Brunnens oder Bohrloches wird für einen frei beweglichen Grundwasserspiegel definiert als:

und

für ein eingeschlossenes Wasservolumen.
Dabei sind:
C : Speicherkonstante [m³/m]
rB : Brunnenradius [m]
ρw : Dichte des Grundwassers [kg/m³]
g : Erdbeschleunigung [m/s²]
cw : Kompressibilität des Wassers [m²/N]
Vw : Volumen der Wassersäule [m³]