GGU-STABILITY: Allgemeines zu Janbu und Bishop
Dem Programm liegen die Berechnungsverfahren
für Bishop (Kreisgleitflächen)

mit

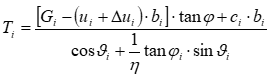
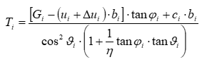
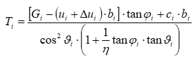
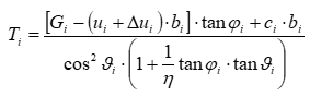
und für Janbu (polygonale Gleitflächen)

mit

der DIN 4084 zugrunde. Hierin bedeuten:
η | Gelände- oder Böschungsbruchsicherheit |
Gi | Eigenlast der einzelnen Lamelle in kN/m unter Beachtung des Ansatzes der Bodenwichten nach Tabelle 1 einschließlich der Auflasten |
M | Momente der in Gi nicht enthaltenen Lasten und Kräfte um den Mittelpunkt des Gleitkreises in kNm/m, positiv wenn sie antreibend wirken (H für Janbu analog) |
MS | Momente um den Mittelpunkt des Gleitkreises in kNm/m aus Kräften nach Abschnitt 6e (DIN 4084), die in Ti nicht berücksichtigt sind (HS für Janbu analog) |
Ti | für die einzelne Lamelle vorhandene widerstehende tangentiale Kraft des Bodens in der Gleitfläche in kN/m (bei polygonalen Gleitflächen der horizontale Anteil) |
ϑi | Tangentenwinkel der betreffenden Lamelle zur Waagerechten in Grad, der beim Kreis gleich der Polarkoordinaten ist |
r | Radius des Gleitkreises in m |
bi | Breite der Lamelle in m |
φi | der für die einzelne Lamelle maßgebende Reibungswinkel in Grad nach Abschnitt 8 (DIN 4084) |
ci | die für die einzelne Lamelle maßgebende Kohäsion in kN/m² nach Abschnitt 8 (DIN 4084) |
ui | der für die einzelne Lamelle maßgebende Porenwasserdruck in kN/m² |
Δui | der für die einzelne Lamelle maßgebende Porenwasserüberdruck in kN/m² infolge Konsolidierens des Bodens. Δui wird im Programm GGU-STABILITY aus der Multiplikation des Porenwasserdruckbeiwertes mit den effektiven Vertikalspannungen berechnet. Alternativ besteht auch die Möglichkeit so genannte Konsolidationsschichten zu definieren. Anhand der dazu erforderlichen Eingabedaten führt das Programm eine eindimensionale Konsolidationsberechnung durch. |
Die Beziehungen sind in der DIN 4084 und DIN 4084:2009 detailliert erläutert, so dass nachfolgend nur auf einige Sonderfälle eingegangen werden muss. In DIN 4084:2009 wird mit Teilsicherheiten gearbeitet. Die Sicherheiten stecken somit bereits in den Bodenkennwerten, den Lasten usw. Der Begriff "Sicherheit" ist somit belegt. Anstelle von "η" ist daher in den obigen Beziehungen "µ" einzusetzen, was als "Ausnutzungsgrad" bezeichnet wird.
Bei vorgespannten Zuggliedern darf nach DIN 4084 und DIN 4084:2009 (Abschnitt 7.2.3.3) die durch die Normalkomponente bewirkte Reibungskraft berücksichtigt werden. Das ist in GGU-STABILITY für Zugglieder implementiert.
In DIN 4084:2009 Abschnitt 7.2.3 wird für Zugglieder der Begriff selbstspannend definiert. Der Winkel ψA zwischen Zuggliedachse und Gleitfläche ist dafür maßgebend (siehe Abbildung 2 in DIN 4084:2009). Diese Bedingung wird vom Programm berechnet (nur wenn DIN 4084:2009 bzw. EC 7 eingestellt ist). Den Wert für ψA können Sie unter dem Menüeintrag "Editor 1 / Teilsicherheiten..." für jeden Boden eingeben.
In DIN 4084:2009 Abschnitt 6.2.3 wird festgelegt, dass bei vorgespannten Zuggliedern, die nicht selbstspannend sind, aber günstig wirken, die Festlegekraft des Zugglieds und nicht der Bemessungswert des Zugglieds in die Berechnung einzusetzen ist. Wenn Sie nach DIN 4084:2009 bemessen, prüft das Programm auf nicht selbstspannend und günstig und multipliziert dann den Bemessungswert des Zugglieds mit einem Faktor, den Sie im Menüeintrag "Editor 1 / Teilsicherheiten..." global für alle Zugglieder eingeben können.
Bei einer Berechnung nach DIN 4084:2009 sind für Erddübel, Geosynthetics und Zugglieder die Bemessungswerte einzugeben. Für die Bodenkennwerte geben Sie die charakteristischen Werte ein, aus denen das Programm mit den Teilsicherheiten dann die Bemessungswerte berechnet.
Bei der Eingabe der Teilsicherheiten sind Angaben für dränierte und undränierte Böden erforderlich. Entsprechend wird bei der Eingabe der Bodenkennwerte daher - außer bei einer Berechnung nach dem Globalsicherheitskonzept nach DIN 4084:1981 - ein Schalter "dräniert" angeboten, so dass das Programm für jeden Boden die richtigen Bemessungswerte berechnen kann.