GGU-TRENCH: Sicherheit gegen den Schlitz gefährdende Gleitflächen im Boden
Die Sicherheit gegen den Schlitz gefährdende Gleitflächen im Boden eta(a) (auch äußere Sicherheit) wird nach der alten DIN 4126 aus der Beziehung
eta(a) = (S - W) / E
S = Stützkraft der Suspension [kN]
W = Druckkraft infolge Grundwasser [kN]
E = Erddruckkraft [kN]
berechnet. Der Zähler ergibt sich aus dem hydrostatischen Stützdruck der Suspension, vermindert um die Wasserdruckkraft W aus dem Grundwasser. Wegen der endlichen Länge des Schlitzes kann das vorliegende Erddruckproblem nicht mehr als ebener Erddruckfall behandelt werden. Im Programm wird als Standardfall nach der so genannten Schultertheorie gemäß Bild 7 in DIN 4126 (alt) vorgegangen. Dabei wird ein endlicher, dreieckförmiger Erddruckkeil betrachtet. Die auf den beiden Flanken des Keils entstehenden Reibungskräfte werden in die Gleichgewichtsbetrachtungen einbezogen, was gegenüber einer ebenen Betrachtung höhere Sicherheiten erzeugt. Reibungskräfte an den beiden Flanken entstehen aus dem Eigengewicht des Bodens, der Flächenlast und, falls gewünscht, auch aus eventuell vorhandenen Streckenlasten. Bis in eine Tiefe, die der Breite des Schlitzes entspricht, wird für die Seitendruckspannungen ein linearer Anstieg gemäß der Wichte des Bodens unterstellt. Unterhalb dieser Tiefe bleibt die Seitendruckspannung konstant. Das Verfahren wird daher auch "bilinear" genannt. DIN 4126 (alt) fordert eine Sicherheit von 1,1 bzw. 1,3 (wenn Lasten aus baulichen Anlagen im kritischen Bereich vorhanden sind). Eine eventuell vorhandene Flächenlast wird hinsichtlich ihrer Wirkung auf die Seitendruckspannung als linear abnehmend von Geländeoberkante (voller Anteil der Flächenlast) bis in eine Tiefe, die der Schlitzbreite entspricht, auf 0 abnehmend unterstellt.
Alternativ zum bilinearen Ansatz wird auch häufig ein so genannter "unterlinearer" Ansatz nach Terzaghi für die Tiefenverteilung der Seitendruckspannung gewählt. Die theoretischen Grundlagen sind z.B. in "KILCHERT/KARSTEDT / Standsicherheitsberechnung von Schlitzwänden nach DIN 4126" (Beuth Verlag GmbH) ausführlich erläutert. Das Verfahren nach Terzaghi beruht auf der so genannten Silotheorie. Auch der unterlineare Ansatz nach Terzaghi kann im Programm angewählt werden. Der unterlineare Ansatz nach Terzaghi ist nach WALZ und PULSFORT (1983; "Rechnerische Standsicherheit suspensionsgestützter Erdwände"; Teil 1 und 2, Tiefbau, Ingenieurbau, Straßenbau, Heft 1 und 2) zulässig, wenn der bilineare Ansatz nach DIN 4126 (alt) mit dem in der Tiefe z = Schlitzbreite festgelegten Knickpunkt nicht überschritten wird. Auch diese Einschränkung kann im Programm eingegeben werden.
Im Gegensatz zu einer Flächenlast können Streckenlasten nur über einen begrenzten Bereich neben der Leitwand wirken. Falls Sie später erläuterte Programmschalter so einstellen, dass Streckenlasten auch zur Erhöhung der Seitendruckspannung beitragen, wird im Programm wie folgt vorgegangen:
Der Anteil der Streckenlast, der sich innerhalb des jeweiligen Gleitkörpers befindet, wird in eine äquivalente Flächenlast (Ersatzflächenlast) umgerechnet ("verschmiert") und dann als Flächenlast behandelt.

Wirkung von Streckenlasten
Wenn sich Einzelfundamente im Bereich eines Schlitzes befinden, die deutlich kleiner sind als die Schlitzbreite, ist konsequenterweise die Einzellast in eine äquivalente Streckenlast umzurechnen. Es ist dann jedoch zu überlegen, ob die Einzellast überhaupt noch einen Anteil zur Seitendruckspannung der Lamelle liefert. Den Anteil, den eine entsprechende Ersatzlast zur Zunahme der günstig wirkenden Seitendruckspannung bewirkt, kann daher im Programm individuell für jede Streckenlast über einen Faktor (>= 0,0 und <= 1,0) definiert werden.
Wenn das Druckgefälle fS0

unterhalb eines Wertes von 200 kN/m² liegt, ist eine volle Membranwirkung der Suspension nicht mehr vorhanden, so dass die Stützkraft reduziert werden muss. Die Reduktion ist von der Eindringtiefe der Suspension in den jeweiligen Boden abhängig. Das Programm berechnet diese Abminderung der Stützkraft. Anstelle des Ausdrucks
(S – W)
in der obigen Formel wird im Programm daher die wirksame Stützkraft S' berechnet und ausgegeben. Auch bei Grenzgefällen > 200,0 liegen Eindringtiefen > "0,0" vor, die grundsätzlich ebenfalls eine Reduktion der wirksamen Stützkraft erzeugen. Im Einklang mit der DIN 4126 (alt) wird im Programm jedoch bei Grenzgefällen > 200,0 eine Eindringtiefe von "0,0" unterstellt, was etwas höhere Sicherheiten bewirkt.
Bei der Ermittlung der Stützkraft S im Bereich der Leitwände darf gemäß alter DIN 4126 (9.1.4.2) statt der Druckkraft der stützenden Suspension die Erddruckkraft aus Bodeneigengewicht und ständiger gleichmäßig verteilter Auflast bis zur Höhe des Erdruhedrucks angesetzt werden, wenn die Leitwände und ihre Aussteifung dafür bemessen sind. Im Programm existiert ein Schalter, mit dem Sie unter den in der DIN angebotenen Möglichkeiten wählen können. Sie können sowohl eine eventuell vorhandene Flächenlast als auch Streckenlasten in die Berechnung des Leitwanderddrucks einbeziehen. Falls Streckenlasten zum Leitwanderddruck beitragen (kann eingestellt werden), wird ihr Anteil unabhängig vom oben erläuterten Faktor für den Seitendruckanteil einer Streckenlast voll berücksichtigt. Auch bei der Ermittlung des Ruhedrucks auf die Leitwand infolge Streckenlasten wird die Streckenlast gemäß Abbildung 1 in eine äquivalente Streckenlast umgerechnet.
Die Berechnung des von der Stützflüssigkeit aufzunehmenden Erddrucks erfolgt für verschiedene, von Ihnen vorgegebene Tiefen unter Variation des Gleitflächenwinkels. Der Variationsbereich des Gleitflächenwinkels wird von Ihnen vorgegeben.
Gemäß DIN 4126 (alt) ist eine eventuell vorhandene Kohäsion in der Gleitfläche mit der Sicherheit 1,5 abzumindern. Das Programm GGU-TRENCH ermöglicht es, neben der allgemeinen Abminderung der Kohäsion eine weitere Abminderung der Kohäsionsanteile sowohl in den beiden Flanken als auch in der Gleitfläche vorzunehmen.
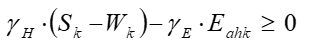
Nach der neuen Normung ist ausreichende Sicherheit nachgewiesen, wenn die Bedingung

erfüllt ist.
Sk = charakteristischer Wert der Stützkraft nach 6.4.2 der DIN 4126:2013
Wk = charakteristischer Wert der Druckkraft des Grundwassers
Eahk = charakteristischer Wert der Erddruckkraft nach 6.4.3 der DIN 4126:2013
H = Teilsicherheitsbeiwert, bezogen auf Druck des Grundwassers und der Stützflüssigkeit
E = Teilsicherheitsbeiwert, bezogen auf Erddruck
Die Berechnung der Größen der Formel erfolgt analog zur DIN 4126 (alt). Bei einer konsequenten Berechnung nach DIN 4126:2013 wird eine Sicherheitsdefinition im Sinne der alten Norm, die einen Anhalt für den Grad der Sicherheit liefert, nicht erhalten. Grundsätzlich resultiert nur die Aussage "Standsicher" oder "Nicht standsicher".
Um dennoch zu einem Maß für die Größe der Sicherheit zu gelangen, wird der Ausnutzungsgrad µ definiert, der sich ergibt aus:
