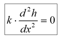
GGU-UPLIFT: La Place differential equation
For calculation of buoyancy safety and safety against hydraulic failure, knowledge of the potential line is necessary. For this, the program solves the La Place differential equation for one-dimensional groundwater flow.
