GGU-CONSOLIDATE: Konsolidationstheorie nach Terzaghi und analytische Lösung
Konsolidationstheorie nach Terzaghi und analytische Lösung
Wenn bindige Schichten schneller belastet werden, als sie das Porenwasser abgeben können, entstehen Porenwasserüberdrücke, die erst allmählich abgebaut werden. Dieser Vorgang wird als Konsolidierung bezeichnet. Unter der Annahme der Gültigkeit des Darcy'schen Gesetzes (v = k · i) und der Gültigkeit des Hooke'schen Gesetzes (ε = σ'/Es) ist folgende Differentialgleichung zu lösen:

Für den eindimensionalen Fall mit konstantem Porenwasserdruckverlauf existiert eine geschlossene Lösung (siehe z.B. Grundbau-Taschenbuch 1990, Teil 3 oder Braya M. Das, 1983; Advanced Soil Mechanics; McGraw Hill). Folgende Eingabegrößen sind notwendig:
Δu= Porenwasserüberdruck (konstant über die gesamte Schichtdicke) = Auflast p
Es = Steifemodul der Schicht
k = Wasserdurchlässigkeit der Schicht
d = Dicke der Schicht
t = Zeitpunkt, an dem die Porenwasserüberdrücke bestimmt werden sollen.
Das Programm berechnet aus dem Steifemodul und der Durchlässigkeit den Konsolidierungsbeiwert CV.
CV = Es · k / γw
mit
γw = 10 kN/m³ ≅ Wichte des Wassers
In manchen Fällen ist dieser Wert aus Drucksetzungsversuchen bekannt, so dass sich die Eingabe von Steifemodul und Durchlässigkeit erübrigt. Mit einem Schalter können Sie im Programm definieren, ob die Eingabe mit Steifemodul + Durchlässigkeit oder nur mit dem Konsolidierungsbeiwert CV erfolgen soll.
Weiterhin sind die Entwässerungsbedingungen der Schicht zu berücksichtigen:
Entwässerung nach oben und unten
Entwässerung nur nach oben
Entwässerung nur nach unten

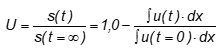
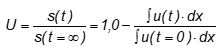
In der Abbildung ist eine Konsolidationsschicht dargestellt, die nach oben und unten entwässern kann. Die Porenwasserdruckverteilung ist über die gesamte Schichtdicke konstant und entspricht der Auflast p, die Sie im Programm definieren können. Das Programm berechnet die Porenwasserdruckverteilung u über die Schichtdicke in konstanten vertikalen Abständen, die Sie definieren können, zu den von Ihnen vorgegebenen Zeiten. Der Flächeninhalt der Porenwasserdruckverteilungen wird numerisch integriert. Im Vergleich mit der konstanten Druckverteilung im unkonsolidierten Zustand (t = 0) kann damit der Verfestigungsgrad U bestimmt werden. Es gilt:

Ein weiterer Begriff ist das Konsolidierungsverhältnis Uz, das definiert ist als
Uz = 1,0 - u/um
mit:
u = Porenwasserdruck
um = u / Auflast