GGU-SLUGTEST: Pressurised slug tests
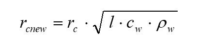
When entering the test data for evaluation of so-called pressurised slug tests (pulse tests), the casing radius rc must be replaced by:

where:
rc : Casing radius [m]
l : Test distance [m]
cw : Compressibility of test zone [m²/N]
ρ w : Density of water [kg/m³]
If cw is not precisely known, calculations may be performed using the compressibility of water instead (4.78 · 10-10 m2/N-1 at 10 °C).