GGU-UPLIFT: Analysis of hydraulic heave after Aulbach/Ziegler
In 2013, Aulbach performed extensive investigations and derived a relationship for homogeneous ground conditions (Aulbach, Benjamin: Hydraulischer Grundbruch - Zur erforderlichen Einbindetiefe bei Baugruben in nichtbindigem Baugrund, dissertation, RWTH Aachen, 2013, URN: urn:nbn:de:hbz:82-opus-46909). The hydraulic heave safety can thus be directly determined.
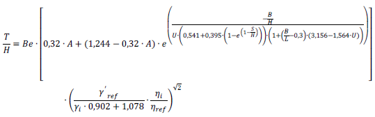
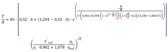
The relationship for the three-dimensional case is shown below (abstract from Aulbach & Ziegler (2013)1 ):

Equation (6) in Aulbach & Ziegler (2013)1 applies for the plane case:

The result of the analysis is the necessary embedment depth.
1 Aulbach, Benjamin; Ziegler, Martin:
Simplified design of excavation support and shafts for safety against hydraulic heave = Einfache Bemessung von Baugruben und Schächten im Hinblick auf die Sicherheit gegen hydraulischen Grundbruch.
In: Geomechnics and Tunnelling 6 (2013), No. 4, p. 362-374, ISSN 1865-7362.