GGU-UPLIFT: Differentialgleichung von La Place
Differentialgleichung von La Place
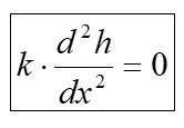
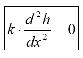
Für die Berechnung der Auftriebssicherheit und der Hydraulischen Grundbruchsicherheit ist die Kenntnis des Potentiallinienverlaufs erforderlich. Das Programm löst dazu die Differentialgleichung von La Place für die eindimensionale Grundwasserströmung numerisch.
