GGU-SLUGTEST: Basic approach
The BOUWER & RICE (1976) method is closely related to the HVORSLEV (1951) method. Because the Thiem equation includes the range of the drawdown cone, but this is not known, it was determined with the aid of an electro-analogue model for a variety of aquifer and well geometries.
The approach used is:

where:
Q : Inflow rate [m³]
kf : Permeability [m/s]
Le : Length of screen [m]
h-hw : Gradient [1]
Re : Range [m]
rw : Borehole radius [m]
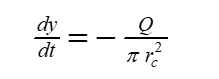
For the change in water level in the well:

where:
rc : Radius of riser pipe [m]
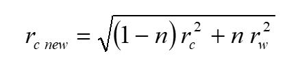
The relationships given assume that the water level is within the blank casing and fluctuates in this region. If, however, the at-rest or the altered water level is within the well filter region, the hydraulic effectiveness of the filter gravel must be taken into consideration (BOUWER, 1989). Instead of rc, an equivalent radius in accordance with

where:
rc new : Effective standpipe radius [m]
rc : Radius of screen/blank casing [m]
rw : Radius of well [m]
n : Porosity of filter gravel [1]
must be adopted.