GGU-SLUGTEST: Solvation of the equations
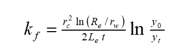
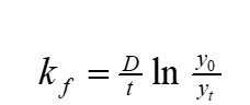
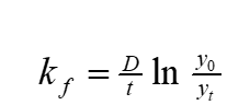
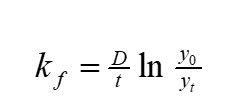
By substituting and solving from the previous equations we get:

and

where:
y0 : Drawdown in well at t = 0 [m]
yt : Drawdown in well at t > 0 [m]
t : Time [s]
Re : Range [m]
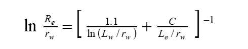
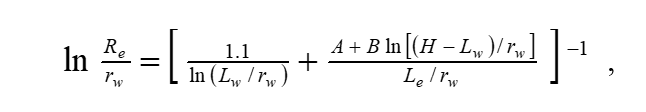
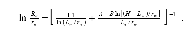
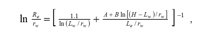
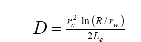
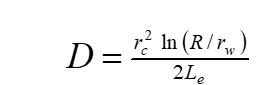
The range Re of a slug or bail test was determined with the aid of an electro-analogue model. The following relationship applies for a perfect well (H = Lw):

The following equation is used for an imperfect well:

where H is defined as the distance between the groundwater base and the at-rest water level in metres. The coefficients A, B and C are determined from a diagram as a function of Le /rw.
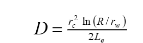
We can write:

where:

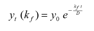
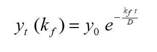
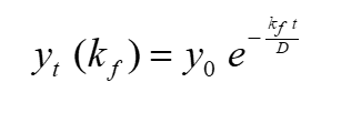
Because D is known for each well, the result for the water level history as a function of the value of kf is:

On the basis of this derivative, the principle of an evaluation after BOUWER & RICE (1976) rests upon finding a value for kf which minimises the deviation between the measured and the calculated water levels.