GGU-SLUGTEST: Determination of shape factor and kf value
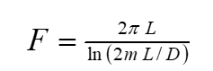
F is known as the shape factor and takes into consideration the idealised flow path L, according to the well configuration and aquifer geometry. Because L cannot be exactly calculated, HVORSLEV (1951) determined empirical shape factors for six different test arrangements, which are used in the kf value equation.
The most frequently used equation is valid for an open, imperfect well in a free aquifer of infinite thickness. The following then applies for the shape factor:

This leads us to the horizontal coefficient of permeability:

or

where:
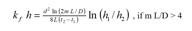
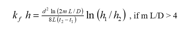
d : Casing diameter [m]
D : Well screen diameter [m]
L : Length of screen [m]
m :
By modification of the general equation for kf and using
h1 = H0 t1 = t0 = 0
h2 = h(t) t2 = t
we receive:

Because the parameters A, F and kf are constant for any given well or aquifer, they can be converted to form:

where

giving:

The function represented by the final equation describes the sinking water level in the well in a slug test after HVORSLEV (1951).