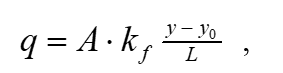
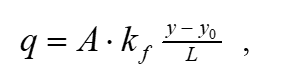
GGU-SLUGTEST: General equation of HVORSLEV
A general derivative of the HVORSLEV equation can be formulated as follows:
With:
q : Percolation [m³/s]
t : Time [s]
A : Flow cross-section [m²]
y : Increase in water level [m]
y0 : At-rest water level [m]
kf : Permeability [m/s]
L : Flow path [m]
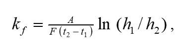
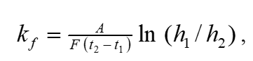
the differential equation

and Darcy's Law

after introducing F = A/L [m], substituting and integrating, becomes

where h1 and h2 are the gauge levels at the subsequent times t1 and t2.