BS-Theorie: Nachweis Hydraulischer Grundbruch nach Aulbach/Ziegler
Aulbach hat in 2013 umfangreiche Untersuchungen durchgeführt und für homogene Untergrundverhältnisse eine Beziehung abgeleitet (Aulbach, Benjamin: Hydraulischer Grundbruch - Zur erforderlichen Einbindetiefe bei Baugruben in nichtbindigem Baugrund, Dissertation, RWTH Aachen, 2013, URN: urn:nbn:de:hbz:82-opus-46909). Damit lässt sich die Hydraulische Grundbruchsicherheit direkt bestimmen.
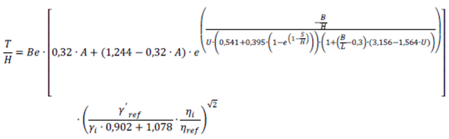
Die Beziehung für den dreidimensionalen Fall ist nachfolgend dargestellt (Auszug Aulbach & Ziegler (2013)1):

Für den ebenen Fall gilt die Formel (6) in Aulbach & Ziegler (2013)1):

Das Ergebnis der Berechnung ist die erforderliche Einbindetiefe.
1 Aulbach, Benjamin; Ziegler, Martin:
Simplified design of excavation support and shafts for safety against hydraulic heave = Einfache Bemessung von Baugruben und Schächten im Hinblick auf die Sicherheit gegen hydraulischen Grundbruch.
In: Geomechanics and Tunnelling 6 (2013), H. 4, S. 362-374, ISSN 1865-7362.