GGU-UNDERPIN: Determining the mean governing soil properties
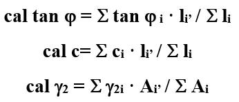
DIN 4017 instructs that the mean soil properties of the soil above the bearing capacity failure plane, which is composed of the two linear components of a logarithmic spiral, can be determined for stratified ground. The governing parameters are summarised in the figure:

Figure 16 Logarithmic spiral
The mean governing soil properties are determined using the following relationships:

li = length within individual layer
Ai = area of individual layer
The condition for the permissibility of the mean is that the mean friction angle demonstrates a maximum deviation of 5° to the true friction angles. This condition can be checked by the program. If it is not adhered to, the program reduces the largest friction angle in stages until the condition is met.